
In order to watch this solution you need to have a subscription.
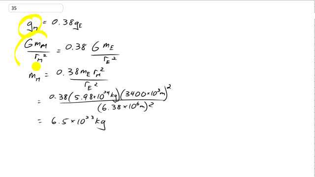
This is Giancoli Answers with Mr. Dychko. The acceleration due to gravity on the moon is 0.38 times the acceleration due to gravity on Earth. And then we can substitute for this little g with this formula here, knowing that acceleration due to gravity is the universal gravitational constant times the mass of the moon, on the one hand, and mass of the Earth on the other hand, divided by the radius of the moon squared or divided by the radius of the Earth squared for that. And we have the acceleration due to gravity on the moon is 0.38 times the acceleration due to gravity on the Earth. And then, we can divide both sides by capital G so that cancels; then multiply both sides by radius of the moon squared and we end up with this line; and then substitute in numbers; 0.38 times 5.98 times 10 to the 24 kilograms— mass of the Earth— times 3400 times 10 to the 3 meters squared, and notice I converted that into meters from kilometers by going times 10 to the 3, and then divide by 6.38 times 10 to the 6 meters— radius of the Earth—squared and that gives 6.5 times 10 to the 23 kilograms is the mass of the moon.
