
In order to watch this solution you need to have a subscription.
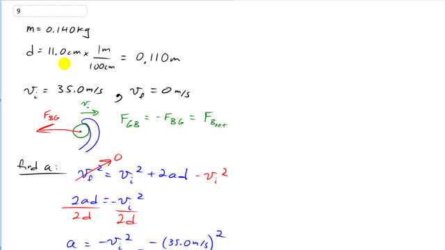
This is Giancoli Answers with Mr. Dychko. In setting up the question we just write down the stuff that we know and do any unit conversions and so on that are necessary. So, the mass of the ball is 0.14 kilograms, it goes a distance of 11 centimeters but we'll converts that into meters by multiplying by 1 meter for every 100 centimeters and the centimeters cancel of giving us 0.11 meters. And the initial velocity of the ball is 35 m/s, and we'll take that to the right and we'll say right is positive direction. So, here's a picture of the situation, we assume that everything is horizontal otherwise we'd have to take gravity into account and we'd need to know some angles and so on, and since we're not given that information we'll have to assume that it's horizontal. This red arrow is the force that's on the ball due to the glove. And this is not the question exactly. The question is, what's the ball force on the glove due to the ball? But we don't know a bunch of things about the glove, we don't know its mass and so on. But we do know that this is a Newton's third law counterpart to the force on the ball due to the glove. So, the force on the glove due to the ball is equal in magnitude but in the opposite direction to the force on the ball due to the glove. So, you can see that the subscripts are just reversed which is a clue that these are Newton's third law pairs. And it's always the case that Newton's third law counterparts are given by subscripts that are just switching the order. So, the first subscript is the thing that the force is on and the second subscript is the thing that exerts the force. So, we're interested in finding the force on the glove due to the ball, and it's the negative of a force on the ball due to the glove. And this is... I guess I should have a negative sign here, is the negative of the net force on the ball because this is the only force on the ball horizontally. So, we have to figure out the net force on the ball and then make it the opposite sign and we'll get our answer to the question. So, the acceleration of the ball is the first thing we need find, and its final velocity is zero because it comes to rest and we know the initial velocity and the distance that it travels, and so we'll calculate acceleration. Subtract Vi squared from both sides, and we get this when you switch the sides around to get the unknown on the left. And divide both sides by 2d. And then get acceleration is the opposite or the negative of the initial velocity squared divided by 2 times the displacement. And that works out to 35 m/s squared divided by 2 times 0.11 meters. That gives negative 5568 m/s squared acceleration. Good thing it's a really light ball otherwise that would be a massive force because that's such a big acceleration. So, the force on the ball due to the glove is the mass of the ball 0.14 kilograms times this acceleration negative 5568 m/s squared which gives a force of negative 780 Newtons. And so we've solved for this arrow so far and then the next step is to say, Well the force on the glove due to the ball which is the question, is the negative of the force on the ball due to the glove, and so that's the negative of negative 780 which is 780, and that's positive and it's pointing in to the right.
Why is the initial velocity not listed in the question?
Hi aiden.morris16, thank you so much for noticing that oversight. I have added the 35.0 m/s to the question.
Best wishes with your studies!
Shaun
