
In order to watch this solution you need to have a subscription.
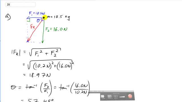
This is Giancoli Answers with Mr. Dychko. We have force one pulling directly to the left with 10.2 Newtons and force 2 pulling down with 16 Newtons the mass is 18.5 kilograms and the resultant is somewhere along this line at some angle theta. So, since these forces are at right angles, calculating the links of the resultant is fairly convenient because we can just use Pythagoras, and so it'll be the square root of the sum of the squares of the two forces. So, the resultant as the next component of 10.2, and we'll square that and add that to the Y component of the resultant which will be 16, and square that, and we get 18.97 Newtons for the force. Now, the angle of that force will be the inverse tangent of force 2 which we can imagine along this side, the opposite to the angle theta, divided by F1, the adjacent. And the inverse tangent of 16 over 10.2 is 57.5. So, the resultant is 19.0 Newtons 57.5 degrees below the negative x axis. Then to calculate the acceleration, the direction of the acceleration will be in the same direction as the resultant force because the acceleration equals the resultant force divided by mass. And we'll figure out the magnitude by going 19 Newtons resultant force divided by the mass of 18.5, and that gives 1.03 meters per second squared and 57.5 degrees below the negative x axis. And in part B, they make it a little bit more complicated because the two forces are not at right angles anymore. And we have 120 degrees from the y axis to force 1 and we have this resultant somewhere along that line. I used the parallelogram method to add these two vectors here. Put in the tails together and then imagining a parallelogram and connecting the point where the tails meet with the other opposite vertex to get the resultant. And this picture may or may not be correct, you know, it's possible if the resultant is below the x axis but based on, you know, what it looks like, I think it'll be above the x axis. So, that's the way I drew it. And we're gonna calculate this angle theta here from the x axis to the resultant. So, first we'll find the x component of this resultant, and the force 2 has no x component. So, that goes away which is nice. And force one has an x component equal to cosine of 30 times force 1. So, we're finding this leg of this triangle. That's the adjacent leg, adjacent to 30 degrees I found 30 buckling... Well, it's 90 from the y axis to the x axis and so 120 from the y axis to the force minus the 90 leaves 30 left over there. So, we have 10.2 times cos 30 is 8.833 Newtons x component for the resultant. And then the Y component of the resultant is the Y component of force 2 which is force 2 entirely, 16 Newtons. Minus the y component of force 1 which we calculate by using sine of 30 times force 1. And that gives 10.9 Newtons. And so, the resultant will be the square root of the sum of the squares of its components. So, it's the square root of 8.833 Newtons squared plus 10.9 Newtons squared, and that gives 14.0 Newtons. And then the direction will be the inverse tangent of its y component divided by its x component. So, it's the inverse tangent of 10.9 divided by 8.833 Newtons which gives 51.0 degrees above the positive x axis and it's 14 Newtons, that's the resultant force. To get the acceleration divided by the resultant force by the mass and the acceleration then is 0.758 meters per second squared in the same direction as the resultant force, 51.0 degrees above the x axis.
How is 10.2 F2y and why are we subtracting F1y and F2y

