
In order to watch this solution you need to have a subscription.
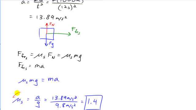
This is Giancoli Answers with Mr. Dychko. First we'll calculate the acceleration of this drag racer and then we'll figure out what force is needed to make that acceleration happen, and then calculate the coefficient of static friction. Knowing that this friction force equals mass times acceleration since it's the net force. So, displacement is one half aT squared because there's no initial velocity, it starts from the starting line at rest. And we can solve this for a by multiplying both sides by 2 and dividing both sides by T squared and then switch the sides around to get a is 2 times displacement over time squared so, that's two times 1,000 meters divided by 12 seconds squared which is 13.9 meters per second squared. And here's the free body diagram of the drag racer, a static friction force is propelling it forwards, that's the reaction force to the force that it applies on the ground, this could also be thought of as the force on the drag racer due to the ground Newton’s third law pair to the force of the, on the ground due to the drag racer. Anyway. So, static friction force is muS times normal force. But we can see the normal force is the only force upwards, and so, it equals the total force down which is just gravity. So, the normal force is mg. And friction force also is ma because it's the net force and the net force always equals mass times acceleration. And then we'll say that muS mg must equal ma then. And then we can divide both sides by m. mg for that matter, to solve for muS. And it's gonna be aT over g. So, 13.89 meter per second squared divided by 9.8 meters per second squared which is 1.4 is the coefficient of static friction needed.
