
In order to watch this solution you need to have a subscription.
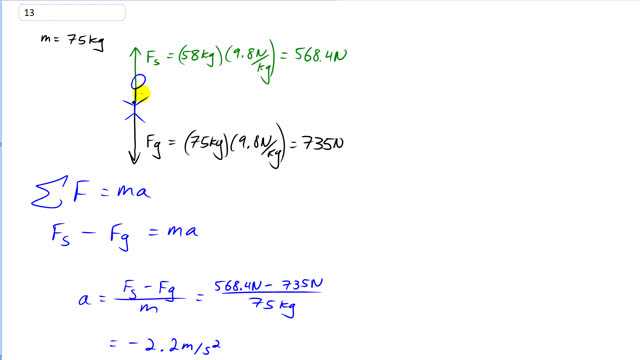
This is Giancoli Answers with Mr. Dychko. If the thief doesn't quite apply his full weight to the sheet then the sheet won't break but this will involve having the thief accelerate downwards because the force that he applies to the sheet and therefore the force the sheet applies to him because those are Newton's third law pairs will not be equal to his weight. And so, the maximum force that the thief can expect from the sheets is 58 kilograms times 9.8 Newtons per kilogram which is 568.4 Newtons. So, we'll find the slowest acceleration downwards by saying, let's assume he's expecting the maximum force from the sheets force of gravity downwards on the thief is 75 kilograms times 98 Newtons per kilogram which is 735 Newtons so, the net force is mass times acceleration. So, the force of the sheet upwards minus the force of gravity on the thief downwards is ma, and we'll divide both sides by m. And now we find the acceleration that will be needed so that he doesn't break the sheets. So, we have the sheet force up minus gravity down divided by 75 kilograms gives negative 2.2 m/s squared, and the thief could accelerate faster than that by having a smaller force expected from the sheet which would make this difference greater and, acceleration greater. But this is the minimum acceleration down to avoid breaking the sheet.
what is 9.8N/kg
Hi zzdawit, and thanks for the question. is an alternative way of writing what you might be used to seeing as . The two forms are equivalent, and the one you choose to use is just personal preference. The two forms have different names. is called the Gravitational field strength, whereas is named the acceleration due to gravity. When solving problems that require the force due to gravity I prefer to write it as since it's easy for me to see the cancel when multiplying it by , leaving , whereas for problems involving the speed or acceleration of something falling I prefer to write .
To illustrate how the units are the same even though they look different, consider this (writing units here, not variables, for this "dimensional analysis"): where the Newtons were expanded into kilograms times meters per second squared since .
The short answer: . Use them interchangeably as you prefer.
