
In order to watch this solution you need to have a subscription.
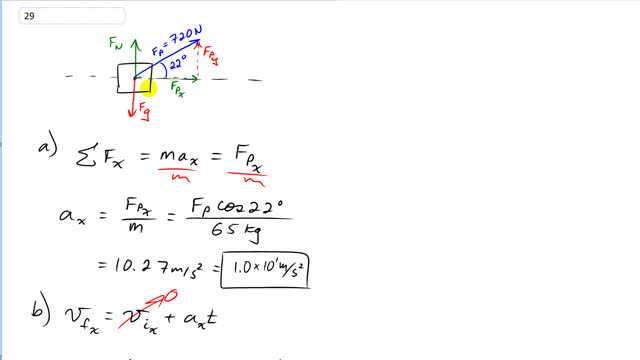
This is Giancoli Answers with Mr. Dychko. Here's a free body diagram of this printer. There is the normal force upwards and gravity down but they're actually not important for this question. They're equal and so they don't amount to anything. But what is interesting is this force applied by the person on the block which in turn results in a force by the block on the person. Anyway. This is the reaction force to the force the sprinter applies to the block and it's 720 Newtons, an angle of 22 degrees above horizontal and it has an x component and the y component. And it's the x component that's going to be responsible for the sprinter's acceleration. So, the sum of the forces in the x direction equals mass times acceleration in the x direction which equals the x component of the force that the person exerts because that's the only force there is in the x direction. And we'll divide both sides by m to solve for a. So, acceleration then is FPx over m. And the x component is the adjacent leg of this right triangle, and so, we use cosine to calculate it by multiplying cos 22 by the force of the person which is 720 Newtons. I suppose I could write that in here. And that gives 10 meters per second squared acceleration. And I wrote 10 as 1.0 times to the 1 just to be clear that there's two significant figures there because we're given two sig figs in the numbers that we work with here. So, if that force is exerted for 0.32 seconds. We can use this formula to calculate the final velocity. And the initial velocity is zero, so, that disappears. And we have the final velocity in the x direction is 10.27 meters per second squared acceleration times 0.32 seconds which gives 3.3 meters per second.
why initial velocity equal zero ? is it suppose that final velocity equal zero because he is saying in the question what speed did the sprinter leave the starting block
Hi mafeadx83, yes, that's right. It's just implied that the sprinter is initially at rest on the starting block, and the question is asking for the speed with which the sprinter launches off the starting block after applying a force.
Best wishes,
Mr. Dychko
