
In order to watch this solution you need to have a subscription.
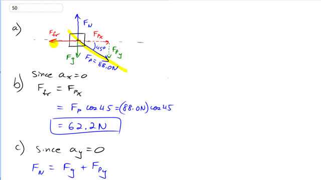
This is Giancoli Answers with Mr. Dychko. Here's a free body diagram showing the four forces on the lawnmower. There is the force applied by the person at an angle of 45 degrees below horizontal. There is a friction force going straight back, gravity down, and then there's the normal force applied by the ground upwards. This force applied by the person has two components but it's just one force. Now, in part B we're going to consider the x component and that's the adjacent leg of this triangle, it's adjacent to 45 degrees there. And so, we use cosine, multiply by the applied force, 88 newtons, and times cos 45 to get 62.2 newtons as the x component of the applied force. And it also equals the friction force because since there's no acceleration horizontally, the total forces to the right have to equal the total forces to the left. So, the friction force is also 62.2 newtons. And since there's no vertical acceleration, we know that the normal force upwards of applied by the ground has to equal the total downwards force, and there's two, there's the component of the applied force downwards in the y direction, and then there's gravity downwards. And so, the normal force up has to equal the total down, gravity, and the y component of the applied force. Gravity is mg. And we have the applied force times sine 45 because the y component is the opposite leg of this triangle. And will go 14 kilograms times 9.8 newtons per kilogram to get the weight of the mower, plus the 88 newtons times sine 45, and that total is 199 newtons and that must be the normal force upwards. And then part D, what force must the person exert to get it up to speed? Well, the initial speed is zero. I guess I could have just made that term disappear but anyway. It's zero here too and its zero here as well. The acceleration is going to be the final speed divided by time. So, that's 1.5 meters per second divided by 2.5 seconds which is 0.6 meters per second squared. And then knowing that acceleration, we can figure out what force has to be applied so, the x component of the applied force to the right minus the friction force to the left has to equal mass times acceleration in the x direction. And that's Newton’s second law. And this is the net force horizontally. And we can solve for FP by taking this term to the right by adding friction force to both sides, that's why it's here. And then substituting for FPx by saying that it's FP times cos theta FP times cos 45, as we did in part B. And then we divide both sides by cos 45. And we get that the required force exerted by the person has to be mass times the acceleration plus force of friction divided by cos 45. So, that's 14 kilograms times 0.6 meters per second squared plus the 62.2 newtons of friction, all divided by cos 45 which is 99.8 newtons.

