
In order to watch this solution you need to have a subscription.
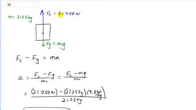
This is Giancoli Answers with Mr. Dychko. The free body diagram of the elevator shows the cable exerting the force upwards and gravity exerting the force down. The cable at its maximum kind of exerted force of 21,750 Newtons, then gravity downwards will always be the mg. So, cable force up minus gravity down is going to be the net force and so it is ma. Then we can solve for the acceleration that we'll have in the case where the cable is exerting its maximum force up. And a cable force minus gravity divided by m. So, that's cable force minus mg divided by m, substituting for gravity there. And that's 21750 Newtons maximum cable force up minus 2125 kilograms mass of the elevator times 9.8 Newtons per kilogram, all divided by the mass of the elevator, 2,125 kilograms which is 0.44 m/s squared upwards.
How do you got m/s^2
Hi joseotilio25, why ? Well, two answers: 1) acceleration always has units of , so that's the short answer. A more detailed answer as to how that follows from the units in this solution would be 2) has units of since , and in the last line of this solution the fraction has units of in both terms on top, whereas there are units of on the bottom. The units on top can be written differently as , which means the cancel, leaving you with units of .
Cheers,
Mr. Dychko
