
In order to watch this solution you need to have a subscription.
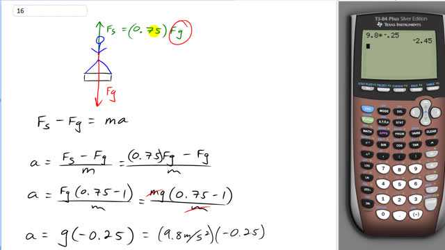
This is Giancoli Answers with Mr. Dychko. Here's a free body diagram of the woman, the force exerted by the scale on the woman is upwards and it's 0.75 times her weight, so, 0.75 times Fg and this arrow is a little bit shorter than the arrow downwards and the narrow down represents gravity and so the net force is the force upwards minus a force downwards, that's a scale force up minus the gravity force down equals ma. And we'll solve this for acceleration by dividing both sides by m and then switch the sides around. And the scale force is 0.75 Fg. So, that's a substitution for this made here. And minus m Fg and that's a common factor that can be factored out in the next line. And then... So that's Fg times 0.75 minus 1 and Fg is mg. And then you can see that m is a common factor on top and bottom, so, it cancels. So, we're left with g times negative 0.25 that's 0.75 minus 1. And 9.8 times negative 0.25 gives an acceleration of negative 2.5 m/s squared. The negative means the acceleration is downwards.
