In order to watch this solution you need to have a subscription.
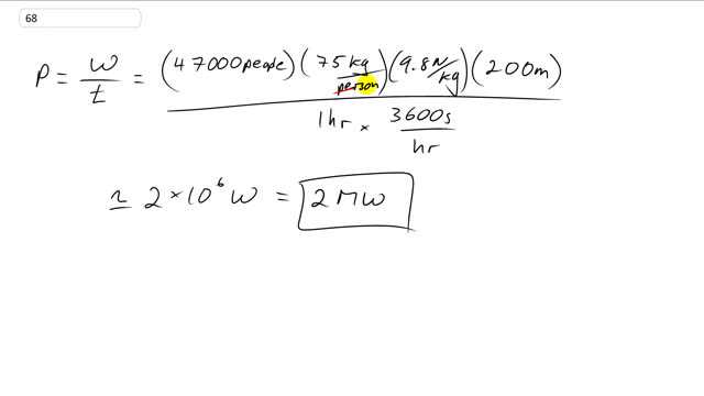
This is Giancoli Answers with Mr. Dychko. We calculate the total mass of people that are moved in an hour and that's going to be 47,000 people times by approximately 75 kilograms per person and then multiply that by 9.8 newtons per kilogram and that gives us the amount of force, in total that's applied, times the 200 meters height to get the total work done in an hour. And then we divide it by that hour, expressed in seconds, 3600 seconds and we get about 2 megawatts of power needed by the chairlifts.
