
In order to watch this solution you need to have a subscription.
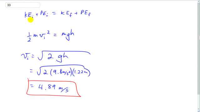
This is Giancoli Answers with Mr. Dychko. The total energy of this sled initially equals the total energy that it has, in the final case, after it gets to the top of its slope. And initially, it has 0 potential energy because we will take the initial height to be the reference level and then it goes up some ramp and then it gets to a new height. And when it gets there, or you know, it doesn't quite get to a flat part, it gets to some maximum height along this ramp; its kinetic energy will be 0 because it will stop there and it will have only potential energy. And the potential energy it has at the top is mgh and the kinetic energy it has in the beginning is one-half m v initial squared and we can cancel the m's, multiply both sides by 2 and then take the square root of both sides. And we get the initial speed must have been square root 2 times 9.8 meters per second squared times 1.22 meters, which is 4.89 meters per second.
Why would the Eq. V² = Vo² + 2ax not work for this eq? Also doesn't the -a need to be FgX?
Thanks - Owen
Why would the Eq. V² = Vo² + 2ax not work for this eq?
Thanks - Owen
