
In order to watch this solution you need to have a subscription.
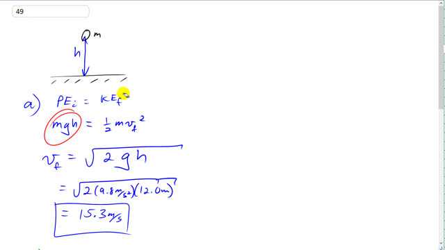
This is Giancoli Answers with Mr. Dychko. The initial potential energy of this baseball is mgh and that's gonna equal the final kinetic energy that it has; one-half m v final squared. And the m's cancel on both sides and we can solve for the final speed by multiplying both sides by 2 and taking the square root of both sides, we get v f is square root 2gh. So that's square root of 2 times 9.8 meters per second squared times 12.0 meters—height that it's dropped from— which is 15.3 meters per second. And then in part (b), we can say that now we take some friction into account and we find that the speed is that it lands with is actually gonna be a bit less than this 15; it's only gonna be landing with a speed of 8 meters per second. And some of the energy must have been dissipated as thermal energy due to friction. And so, the friction was acting over this for a force was acting over this distance h that its fallen and we can solve for this friction force by subtracting final kinetic energy from both sides and then dividing by h. So the friction force is mgh minus one-half m v final squared all divided by h and you can factor out the m divide both terms by h and the first term just becomes g and then you have bracket, multiply everything by m and then minus v final squared over 2h. And you don't have to do this last step, by the way, I just did that to make it look a little more clean. We could substitute numbers into this one too. So we have 0.145 kilograms; we have to convert the 145 grams into kilograms times by 9.8 newtons per kilogram minus 8 meters per second— final speed—squared divided by 2 times the height of 12 meters and that gives 1.03, must have been the friction force, to account for having a speed of only 8 meters per second instead of the expected 15.3 that you would have with no friction.
Why do we include the h with the friction force? I know you said it is because the friction is acting over the height, but isn't that so with all forces? Why do we not need to know the distance over which a force is applied when calculating the net force on something-like tension for an example- or when a car is driving and we have to account for the friction force but we do not need to the distance over which this friction occurred?
Hi acw2085, thank you for the question. The height comes into play since we're talking about energy. The work done by the friction force is the energy that it dissipates into heat. In order to calculate the work done by friction we need to know the distance over which it operates since W = F x d. In this case "d" is "h". Some of the initial gravitational potential energy is lost since the final kinetic energy is less than the initial potential energy. The difference is the work done by friction and we rearrange W = F x d into F = W / d (to use generic variables, but in the video "W" is expressed as the difference between initial gravitational potential minus final kinetic energies, and 'd' is 'h').
Hope this helps,
Shaun
