
In order to watch this solution you need to have a subscription.
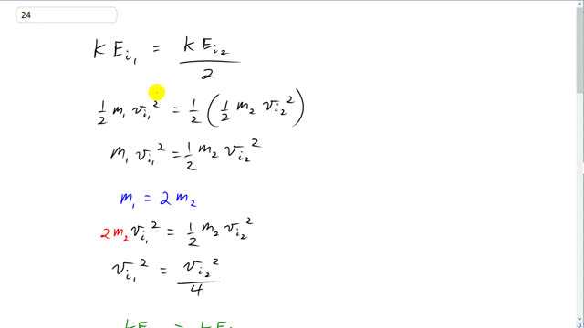
This is Giancoli Answers with Mr. Dychko. Solving this question involves translating the words in the question into algebra. So we are told that initially, before the car's increase their speed by 8 meters per second, initially their kinetic energy of car one is half of the kinetic energy of car two. So, this is the algebraic way of saying that. And then we can substitute - one-half m 1 v initial 1 squared and then equals a half times one-half mass 2 times v initial of car two squared. And then the one-halves cancel and we have m 1 v initial 1 squared equals one-half m 2 v initial 2 squared. And then we know that mass 1 is twice the mass of the second car. So m 1 is 2 times m 2 so we'll make a substitution for that in place of m 1 here. So, we have 2 times m 2 now v initial 1 squared equals one-half m 2 v initial 2 squared and divide both sides by 2 and you get v initial 1 squared equals v initial 2 squared over 4 which is, it can also be written as v initial 1 is half of v initial 2. So, the speed of car one, before we increase the speeds by 8 meters per second, is half the speed of car two. So we need more information in order to actually figure out what the speeds are but at least we have gotten somewhere by saying that they are different by a factor of a half. OK So then we consider the information about after the speeds are increased so that's the final speed. So the final kinetic energy of car one is equal to the final kinetic energy of car two, we are told. And so now I'm substituting for the kinetic energies and then the one-halves cancel and then write then 2m 2 in place of m 1 because mass of car one is still 2 times the mass of car two and the m 2's cancel. So in the final case, we see that the speed of car one squared is half the square the speed of of the car two, after the speeds are increased. So, we have two formulas now but we have four unknowns -- v i 1, v i 2, v f 1, v f 2 -- those are four unknowns; we need four equations actually to solve for any of these variables. And we have four equations because we know that v final of car one is 8 meters per second more than the initial speed of car one. And likewise for the final speed of car two, we have 8 meters per second in addition to the initial speed of car two. So, I rewrote this equation from their, down here and I copied this one but I took the square root of both sides so that's why it's just v f 1 equals v f 2 and then square root of 2 is algebra square root 2. And we'll call this equation one, we'll call this equation two and then we'll write equation two version b where we make substitution for each of these final speeds based on what we know here. So, the final speed of car one is the initial speed of car one plus 8 and the final speed of car two is the initial speed of car two plus 8. And then we'll take equation two version b and subtract equation one from it. So, we subtract the left side and the right sides and we'll eventually end up solving for v i 2 here. The reason this is a strategic thing to do is because we can see that we have v i 1 here and a v i 1 there so if we go v i 1 plus 8 minus v i 1, the v i 1 is going to cancel, or is gonna disappear, and going to make zero leaving us with a single equation containing only one unknown which is what we want. So, we are taking the left side of 2b minus the left side of equation one; that's what's written here and we have the right side of equation 2b minus the right side of equation one. And the rest is just algebra. So on first, I get rid of the fractions while these terms disappear and get rid of the fractions by multiplying everything by 2 root 2 because fractions are messy so let's get rid of them. So, the left side becomes 8 times 2 root 2 and on the right side, we have the root 2 canceling in the first term, leaving us with just 2 times v initial 2 plus 8. And then on the second fraction, we have the the two 2's cancel, leaving us with root 2 times v initial 2. And then 8 times 2 is 16 root 2 and then minus the 2 times 8 here brought to the left side makes minus 16. And we have 2 times v initial 2 minus root 2 times v initial 2 so factor out the v initial 2 and it's 2 minus root 2 times that. And then switch the sides around, divide by this factor and we have v initial of car two is 16 root 2 minus 16 over 2 minus root 2. And that gives us 11.3 meters per second. And v initial 1 is half of v initial 2 as we know from way up here. And that means it's gonna be 5.7 meters per second.
The problem says that one car has twice the mass of the second car but only half of the kinetic energy. Wouldn't that be talking about the same car? So the car that is represented as 1/2(1/2 m2v2^2) would be 1/2(1/2 * 2m1*v2^2) not m1=2m2?
Nevermind, I see it. That is really cool!
