
In order to watch this solution you need to have a subscription.
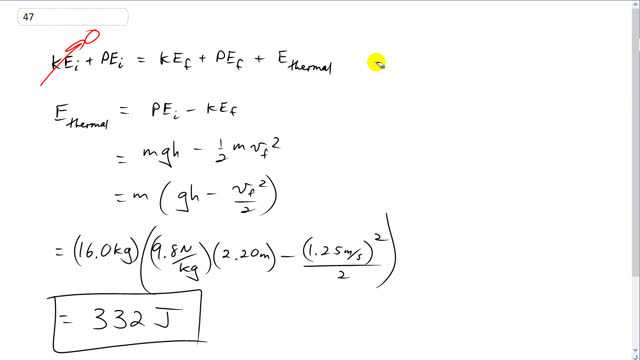
This is Giancoli Answers with Mr. Dychko. Initially, at the top of the slide, the child has some potential energy and since the child's at rest, there's no kinetic energy there. In the final case, at the bottom of the slide, which we'll take to be the reference level in which case there's no potential energy there, the child will have some kinetic energy and some of the energy that was initially all stored up in potential energy will also get converted into thermal energy. So we need to add the thermal energy here so that plus the final kinetic energy in total will make the intial potential energy. So E thermal then is potential energy initially minus the kinetic energy final. So that's m g h minus one-half m v f squared and you can factor out the m and that's 16 kilograms times 9.8 newtons per kilogram times 2.20 meters minus 1.25 meters per second— speed that the child has at the bottom of the slide— squared divided by 2 gives 332 joules of thermal energy.
