
In order to watch this solution you need to have a subscription.
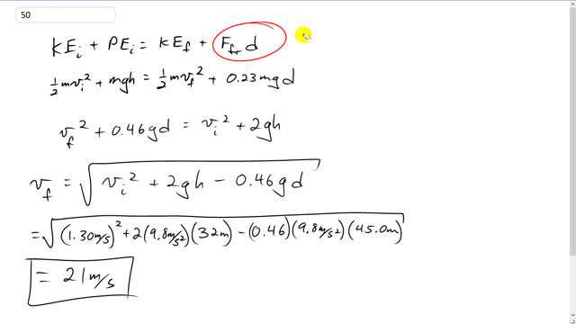
This is Giancoli Answers with Mr. Dychko. The total initial and potential energy, that the roller coaster has, equals the final potential and kinetic energy plus the energy dissipated by friction into heat. Now, there's no potential energy so I didn't write that term in the final case because the reference level is taken at point two so the height is 0 there. We'll substitute for each of these terms here; we have initial kinetic energy is one-half mass times initial speed squared plus mg height above point two and then equals one-half m v final squared plus 0.23 times mg; because that's what we were told the friction force is, 0.23 times the weight mg times the distance along the track that the roller coaster travels, which we are told is 45 meters. Now, we'll multiply everything by 2 over m so the m cancels everywhere and the one-halves all disappear and you get a 2 times gh and you get a 2 times 0.23 which is 0.46gd and I switched the sides around here at the same time for the next line and then bring this term to the right hand side by subtracting it from both sides and take the square root of both sides and you get v f is square root of v initial squared plus 2gh minus 0.46gd. So that's square root of 1.30 squared, plus 2 times 9.8 meter per second squared times 32 meters—height of point one above the reference level at point two— minus 0.46 times 9.8 meters per second squared times 45 meters along the track, which gives 21 meters per second will be its final speed at point two.

