
In order to watch this solution you need to have a subscription.
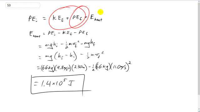
This is Giancoli Answers with Mr. Dychko. All of the potential energy, that this gear initially has at the top of the hill, is gonna get turned into kinetic energy and a bit of potential energy leftover as they go down the hill, and some heat as well. So, if we move both these terms to the left side, we can solve for how much heat was generated. Now this heat is all created by friction, by the way. So the energy dissipated by friction is initial potential minus final kinetic and minus final potential. So we can substitute for each of these things; mg h initial minus one-half m v final squared minus mg h final. Now we can take the mg and factor it out of h initial minus final, or well, final minus initial, whichever way we want to look at it; initial minus final, the way I have written it here; so that's 230 meters and we had to do this factoring, out by the way, because we are told that they drop 230 meters, we are not told what the final height is, we are told the initial height is 1200 but what we care about is how far they have fallen, which is 230. So we have the mass, 66 kilograms, times 9.8 meters per second squared times 230 meters fall minus one-half to 66 kilograms times your final speed 11 meters per second squared and that's 1.4 times 10 to the 5 joules of energy dissipated by friction.
Why is there still potential energy at the end?
Hi taylorreilley,
Thanks for the question. One thing to understand about potential energy is that you can never know how much there is. :) There's no such thing as an "absolute" potential energy. It's possible only to tell what is the change in potential energy. Sometimes we speak as though there is an absolute potential energy, such as "the book is 3m above the ground, so it has of potential energy, but don't be fooled by that as it's just a concise (maybe lazy?) way of speaking, when in fact it means the difference in potential energy of the book with respect to the ground is . With that in mind, the skier has a change in potential energy resulting from their drop in altitude of , and this change in potential energy is turned into other forms of energy, namely kinetic energy and heat. Subtracting away the kinetic energy gained from the loss of potential energy, we're left with how much of that potential energy loss was turned into heat.
To put it in one sentence, the "potential energy" term you see in the final calculation is not the "potential energy at the end", but rather, it is the change in potential energy when the skier descends.
All the best,
Mr. Dychko
Shouldn't the Energy exerted= mg(hi-hf) instead of mg(hf-hi) because the final potential energy is negative and the initaial potential energy is positive.
Wouldn't (hf-hi) equal to -230?
