
In order to watch this solution you need to have a subscription.
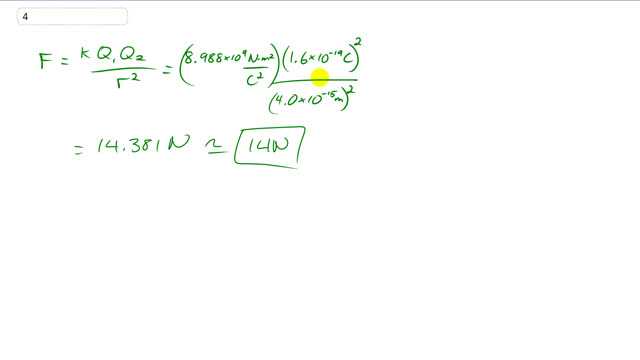
This is Giancoli Answers with Mr. Dychko. The repulsive force between two protons is Coulomb's constant 8.988 times 10 to the nine Newton meters squared per Coulomb squared, multiply it by each charge and they're both 1.6 times 10 to the minus 19 Coulombs. So we take that number, squared, and divided by the distance between them at 4.0 times 10 to the minus 15 meters squared. Then we get about 14 Newtons as the repulsive force between two protons.
how I know the values of q1 and q2 because they dont mention in the exercice
Hi joseotillio25, thanks for the question. Since the problem says we're working with protons, that means the charge on each is the elementary charge of .
All the best,
Mr. Dychko
