
In order to watch this solution you need to have a subscription.
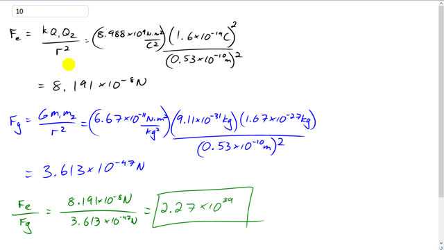
This is Giancoli Answers with Mr. Dychko. The electrostatic force between a hydrogen’s proton and its electron that's surrounding it is coulombs constant times the charge in the proton times the charge in the electron divided by the distance between them squared. So that’s 8.988 times ten to the nine Newton meter squared per coulomb squared times the charge in the proton any electron of equal magnitude. So it's 1.6 times ten to the minus 19 coulombs squared and divide that by the 0.53 times ten to the minus ten meters distance between them squared. That gives 8.191 times ten to the minus eight Newtons. The gravitational force between them will be gravitational constant 6.67 times ten to the minus 11 newton meters squared per kilogram squared times the mass of electron 9.11 times ten to the minus 31 Kilogram times the mass of proton which is 1.67 times ten to the minus 27 kilograms divided by distance between them squared 0.53 times ten to the minus ten meters squared and that gives 3.613 times ten to the minus 47 Newtons. So to compare the forces we should take the ratio and find out by what factor they are different. So we'll take the electrostatic force divided by the gravitational force and this works out to 2.27 times ten to the 39. So electrostatic force is 2.27 times ten to 39 times greater than the gravitational force. And so electrostatic force is massively massively massively greater than gravity.
