
In order to watch this solution you need to have a subscription.
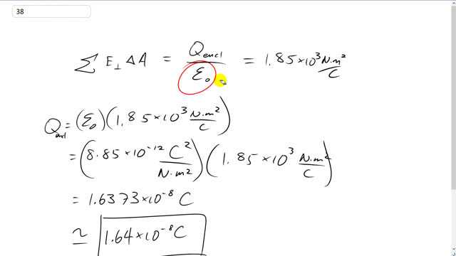
This is Giancoli Answers with Mr. Dychko. Total electric flux equals the enclosed charge within this Gaussian surface divided by the permittivity of free space. And we're told that the total flux is 1.85 times 10 to the three Newton meters squared per Coulomb. So we can multiply each of this by Ε naught. And we get the enclosed charge is permittivity of free space times this total flux. That's 8.85 times 10 to the minus 12 Coulombs squared per Newton meter squared, times 1.85 times 10 to the three Newton meters squared per Coulomb, and we get 1.64 times 10 to the negative eight Coulombs must be the enclosed charge.
