In order to watch this solution you need to have a subscription.
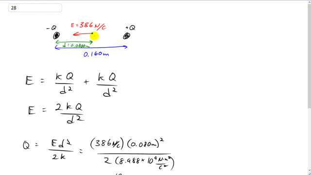
This is Giancoli Answers with Mr. Dychko. So, we're told that these charges have opposite signs but equal magnitudes. So let's call this charge in the left negative Q and we'll call the one on the right positive Q. And our job is to find the magnitude of the electric field at a midpoint between them knowing that they're separated by 16 centimeters which is 0.16 meters. So the electric field due to this positive charge at this point is going to be directed away from the positive charge because if you placed a positive test charge here the electric field will be in the direction of the force it would experience and since it's going to be repelled by this charge it's going to be forced away to the left. And then considering the negative charge here, if you put a positive test charge here it'll be attracted to it and so it will also experience a force to the left and so that means electric field at this point due to the negative charge also is to the left. So the electric field at the midpoint between these two charges is in the same direction for both the charges and so we add them at the magnitudes and the magnitude of the electric field here is gonna be the coulomb’s constant times the charge Q divided by the distance from the charge to this midpoint squared and the distance is the same for both of them because it's the midpoint and it's going to be half of 16 centimeters which is eight centimeters, 0.0800 meters. And now notice we're adding the magnitudes here so we're not considering whether the Q is positive or negative. We've already taken care of that. We've already put our negative signs in front or positive signs as need be. And it turns out they're both going to be positive because we'll just say the left direction is positive. We just collect these two things together, they're both the same. So that means two k Q over d squared is going to be electric field strength and we can solve for Q by multiplying both sides by d squared over two k and we get that Q, after we switch the sides around, it's gonna be electric field strength times the distance from the charge to the midpoint squared over two k. And this is gonna give us the charge Q on each of the charges so that's 386 Newtons per coulomb, electric field strength we're told, times 0.080 meter squared divided by two times 8.988 times then to the nine newton meters squared per coulomb squared which gives a magnitude of charge of 1.37 times ten to the the minus ten coulombs on each point charge.
