
In order to watch this solution you need to have a subscription.
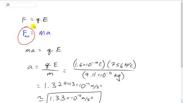
This is Giancoli Answers with Mr. Dychko. We know the force of this electron will experience is its charge times the electric field strength. And we also know the force is gonna be mass times acceleration. Assuming this is the only force on it, then that force, it equals ma. ma equals qE and we can solve for acceleration by dividing both sides by m. So a is qE over m. The charge is 1.6 times 10 to minus 19 Coulombs, elementary charge on an electron, times 756 Newtons per Coulomb for electric field strength, divided by the mass of an electron of 9.11 times 10 the minus 31 kilograms. That gives us 1.33 times 10 to the minus 14 meters per second squared acceleration. The direction will be opposite the electric field direction because the electric field points in the direction of force on a positive charge. And because this charge is negative being an electron, it will go on the opposite direction to the direction of the electric field.
