
In order to watch this solution you need to have a subscription.
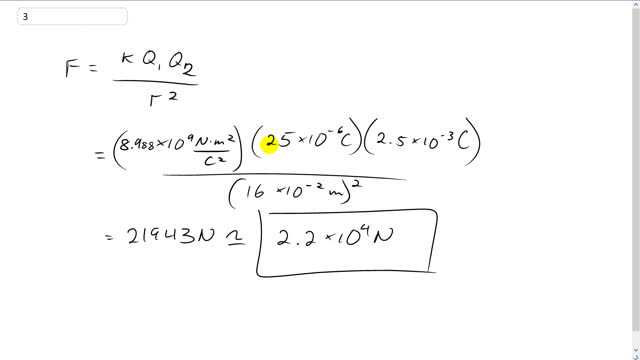
This is Giancoli Answers with Mr. Dychko. The magnitude of the force is given by Coulomb's Law. So we have Coulomb's constant 8.988 times 10 to the nine Newton meters squared per Coulomb squared, times by one charge which is 25 microcoulomb's, and we used 10 to the minus six in place of the micro. And then the other charge is 2.5 millicoulombs, and that prefix milli means times 10 the minus three. Then we divide it by the distance between them which is 16 centimeters which we converted to meters by multiplying by 10 to the minus two, and square that. And we get about 2.2 times 10 the 4 in Newtons is the magnitude of the force between these two charges.
