
In order to watch this solution you need to have a subscription.
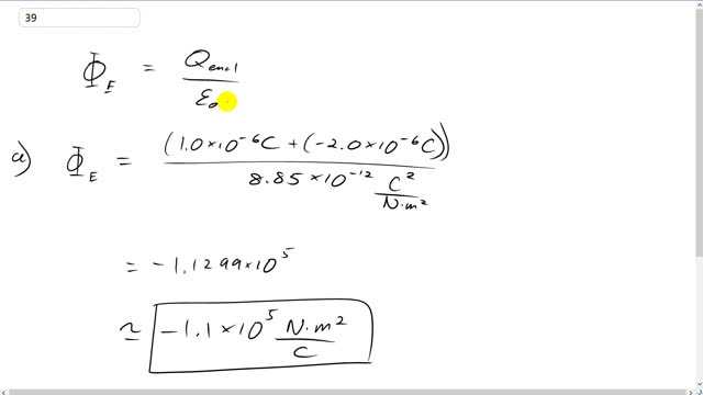
This is Giancoli Answers with Mr. Dychko. The total flux through the surface enclosing all the charges is gonna equal the total enclosed charge divided by permittivity of free space. The total enclosed charge is 1.0 times 10 to the minus six Coulombs positive, plus the negative 2.0 times to the minus six Coulombs. And the third object has no charge, and so it doesn't even enter into this part at all. And we divide it by permittivity of free space, 8.85 times 10 to the minus 12 Coulombs squared per Newton meters squared. And we get negative 1.1 times 10 the five Newton meters squared per Coulomb. And that's the total flux. And the total flux through the surface enclosing the neutral object will be zero because it encloses no charge, no net charge. And zero divided by whatever that is, is still zero.

