
In order to watch this solution you need to have a subscription.
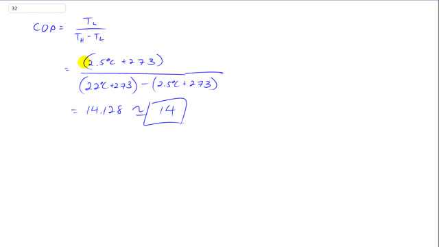
This is Giancoli answers with Mr. Dychko. The ideal coefficient of performance for a refrigerator is the low temperature divided by the difference between the high temperature and the low temperature. So let's 2.5 degrees Celsius plus 273 to convert it into Kelvin divided by 22 degrees Celsius minus two and a half degrees Celsius. I converted both of them into Kelvin by adding 273 but… and in the bottom here when you're just taking the difference between the two temperatures converting to Kelvin is not actually necessary and this works out to a coefficient of performance of 14.
