
In order to watch this solution you need to have a subscription.
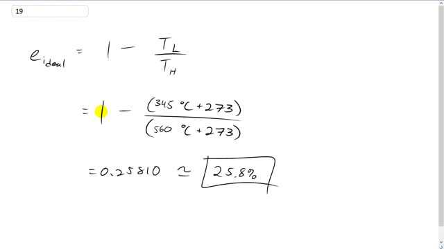
This is Giancoli Answers with Mister Dychko. The ideal efficiency is the efficiency of a Carnot engine and that's going to be one minus the low temperature reservoir divided by the high temperature reservoir. So, that's one minus 345 degrees Celsius plus 274 to convert that into Kelvin and then divide by the high temperature of 560 degrees Celsius converted to Kelvin. That gives 25.8 percent efficiency.
