
In order to watch this solution you need to have a subscription.
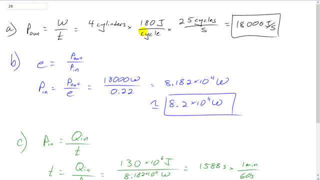
This is Giancoli Answers with Mr. Dychko. Power output is the work done per time and there are four cylinder’s in this engine and each cylinder does 180 joules of work for every cycle and it’s 25 cycles per second. And so these units as they cancel we end up with joules per second for four cylinders and that's four times 180 times 25 which is 18000 joules per second. I could have written 18000 watts but that's the same thing. Efficiency is the power output divided by power input and we can solve this for the input power. Multiplying both sides by Pin over efficiency and we're left with Pin equals Pout over efficiency so the power output of 18000 watts gets divided by efficiency of 0.22 which gives us 82000 watts of power input or 8.2 times ten to the four watts of energy per second put into the system. And of course we expected this number to be higher than this number because nothing is perfectly efficient. So the input power has to be always greater than the output power. And to find the amount of time that one gallon of gasoline would last. The power input is all coming from the gasoline. And it's this much energy per time. Power is energy per time and we'll solve this for time by multiplying both sides by t over Pin and the amount of time is gonna be the total of 130 mega joules which is times ten to the six joules divided by the power input of 8.182 times ten to the four watts. And that gives us 1588 seconds which we convert into minutes multiplying by one minute for every 60 seconds left with about 26 minutes.
