
In order to watch this solution you need to have a subscription.
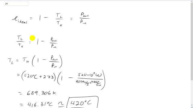
This is Giancoli Answers with Mr. Dychko. Ideal efficiency is one minus low Temperature divided by high temperature and that equals the power output of this heat engine divided by the power input and we can solve this for TL by first moving this to the right hand side and moving this to the left hand side which makes the TL over TH turn positive and then we'll switch sides around. We have TL over TH equals one minus Pout over Pin and multiply both sides by the high temperature and you get the low temperature as the high temperature times one minus Pout over Pin . So the high temperature is 520 degrees Celsius converted into Kelvin by adding 273 times up by one minus 520 kilowatts which is times ten to the three watts power output. That's the rate at which is doing work and then the power input is the rate of at which heat is added to the system and it's 950 kilocalories per second and we'll convert those kilocalories into joules by multiplying by 4186 joules per kilocalorie and that gives us joules per second and this works out to 689.306 Kelvin and when we take away 273 we get about 420 degrees Celsius.
