
In order to watch this solution you need to have a subscription.
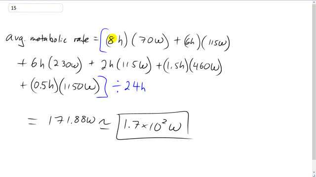
This is Giancoli Answers with Mister Dychko. We're taking a time weighted average of each of these metabolic rates, basically. This 70 watts metabolic rate while sleeping is multiplied by eight hours and then we add to that six hours times 115 watts while sitting upright at their computer and then plus six hours times 230 watts while engaged in light activity plus two hours times 115 watts sitting upright watching TV plus one and a half hours times 460 watts playing tennis and then half an hour times 1150 watts while running. Take all that, divide it by 24 hours, and we end up with 171.88 watts, which is 1.7 times ten to the two watts.
