
In order to watch this solution you need to have a subscription.
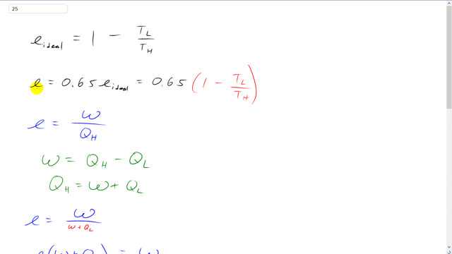
This is Giancoli Answers with Mr. Dychko. Ideal efficiency is one minus the temperature of the low temperature reservoir divided by the temperature of the high temperature reservoir. and the actual efficiency in this case of this nuclear power plant is 65 percent of that ideal. So that's 0.65 times one minus TL over TH and we're going to rate efficiency in another way as the work done divided by the end or the heat transferred from the high temperature reservoir and we're going to rewrite this in terms of the heat discharged the low temperature reservoir by knowing that work is the difference between QH and QL and we'll take this to the other side which makes it positive and then switch sides around and we get QH is work plus QL and then substitute that in for QH and now we have an efficiency formula with the QL in it because the question asks us how much exhaust heat is discharged per hour but we'll get to that per hour business in a second. So multiply both sides by W plus QL and we're solving for QL here eventually. So we have e times W plus QL equals W and then distribute the e into the brackets there and we have efficiency times work plus efficiency times QL to the low temperature reservoir equals the work done and move this to the right hand side which makes it minus eW and then factor the W out and divide both sides by e and end up with this line here and the efficiency is 0.65 times one minus TL over TH that's where we say that the efficiency is 65 percent of the ideal. And so we put that in now for e and now we're given this strictly speaking we should be dividing both sides by T here. This is the heat, given after the low temperature reservoir per time because this W is actually power it's not work done it's work per time. It's a 1.4 times ten to the nine Watts or joules per second. And if we multiply that by 3600 seconds per hour we get the number of joules per hour and that means our answer is going to be in joules per hour. So we have this Joules power times one minus 0.65 times one minus 330 degrees Celsius the low temperature reservoir plus 273 converted into Kelvin and divide that by 660 plus 273 and divide that by the efficiency and you get about 1.7 times ten to the 13 joules released to the low temperature reservoir per hour.
