
In order to watch this solution you need to have a subscription.
distance is wrong
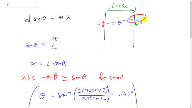
Hi jiwook.kim, thanks for the comment. At 2:58 in the video I noticed the error in the separation between slits that you pointed out and changed it to , and the correct value was used in the later calculations so the final answer is still correct. Thanks for mentioning this anyways since if there was a mistake then it would be important to let other students know.
All the best,
Mr. Dychko
its .62mm
