Giancoli 7th Edition textbook cover
Giancoli's Physics: Principles with Applications, 7th Edition
24
The Wave Nature of Light
Change chapter

24-3: Double-Slit Interference
24-4: Visible Spectrum; Dispersion
24-5: Single-Slit Diffraction
24-6 and 24-7: Diffraction Gratings
24-8: Thin-Film Interference
24-9: Michelson Interferometer
24-10: Polarization

Question by Giancoli, Douglas C., Physics: Principles with Applications, 7th Ed., ©2014, Reprinted by permission of Pearson Education Inc., New York.
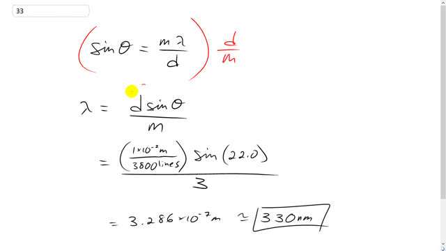
Problem 33
Q

A grating that has 3800 slits per cm produces a third-order fringe at a 22.022.0 ^\circ angle. What wavelength of light is being used?

A
330 nm
Giancoli 7th Edition, Chapter 24, Problem 33 solution video poster
Padlock

In order to watch this solution you need to have a subscription.

Find us on:

Facebook iconTrustpilot icon
Giancoli Answers, including solutions and videos, is copyright © 2009-2026 Shaun Dychko, Vancouver, BC, Canada. Giancoli Answers is not affiliated with the textbook publisher. Book covers, titles, and author names appear for reference purposes only and are the property of their respective owners. Giancoli Answers is your best source for the 7th and 6th edition Giancoli physics solutions.