Giancoli 7th Edition textbook cover
Giancoli's Physics: Principles with Applications, 7th Edition
24
The Wave Nature of Light
Change chapter

24-3: Double-Slit Interference
24-4: Visible Spectrum; Dispersion
24-5: Single-Slit Diffraction
24-6 and 24-7: Diffraction Gratings
24-8: Thin-Film Interference
24-9: Michelson Interferometer
24-10: Polarization

Question by Giancoli, Douglas C., Physics: Principles with Applications, 7th Ed., ©2014, Reprinted by permission of Pearson Education Inc., New York.
Problem 34
Q

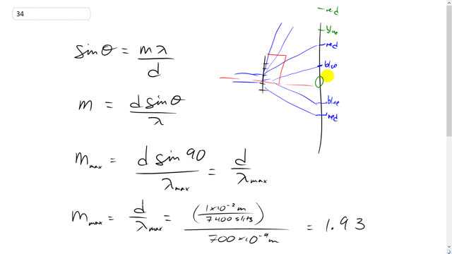
A grating has 7400 slits/cm. How many spectral orders can be seen (400 to 700 nm) when it is illuminated by white light?

A
only 1 complete spectral order can be seen on each side of the central max
Giancoli 7th Edition, Chapter 24, Problem 34 solution video poster
Padlock

In order to watch this solution you need to have a subscription.

COMMENTS
By nationex22 on Tue, 2/1/2022 - 12:43 AM

there is 1 too many zeros in the 74000 slits/cm. it should be 7400 slits/cm

By Mr. Dychko on Thu, 2/3/2022 - 4:38 PM

Thank you so much nationex22 for noticing that! I've fixed the typo in the question.
All the best,
Shaun

Find us on:

Facebook iconTrustpilot icon
Giancoli Answers, including solutions and videos, is copyright © 2009-2026 Shaun Dychko, Vancouver, BC, Canada. Giancoli Answers is not affiliated with the textbook publisher. Book covers, titles, and author names appear for reference purposes only and are the property of their respective owners. Giancoli Answers is your best source for the 7th and 6th edition Giancoli physics solutions.