
In order to watch this solution you need to have a subscription.
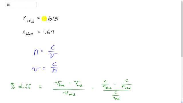
oh, i thought red light has longer wavelengths and is slower than the shorter wavelengths of blue!
Hi spanda2u, you're quite right that red has a longer wavelength, but indeed, as shown in the video, "chromatic dispersion" for most materials usually means the long wavelength colors travel faster. Here's the Wikipedia article (it's rather densely written unfortunately).

