
In order to watch this solution you need to have a subscription.
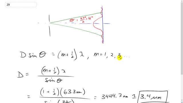
Why is m 1.5 and not just 1?
Hi justin.sunny.bains, thanks for the questions. We're looking at a diffraction pattern here, and I would suggest referring to Figure 24-21 from the textbook to see the pattern of minima in the diffraction pattern. They occur at integer multiples of the wavelength. The twist in this question is that it tells us the position of the maxima, for which we need to deduce a formula from Figure 24.21. The maxima occur half way between the minima, so we need to add 1/2, as in .
Best wishes with your studies,
Mr. Dychko
