
In order to watch this solution you need to have a subscription.
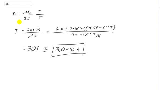
There is a mistake in the video. Although the text is correct when talking about the permeability constant you say 4pi x 10^-4 as the text shows, the correct number is 4pi x 10^-7
Thank you very much ZreLL, I've added a note to the quick answer mentioning this error.
All the best,
Mr. Dychko
Your welcome. Thank you for all the help with physics.
You're welcome! I'm really glad the videos are helpful!
