Giancoli 7th Edition textbook cover
Giancoli's Physics: Principles with Applications, 7th Edition
20

20-3: Force on Electric Current in Magnetic Field
20-4: Force on Charge Moving in Magnetic Field
20-5 and 20-6: Magnetic Field of Straight Wire, Force between Two Wires
20-7: Solenoids and Electromagnets
20-8: Ampère's Law
20-9 and 20-10: Torque on Curent Loop, Motors, Galvanometers
20-11: Mass Spectrometer
20-12: Ferromagnetism, Hysteresis

Question by Giancoli, Douglas C., Physics: Principles with Applications, 7th Ed., ©2014, Reprinted by permission of Pearson Education Inc., New York.
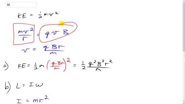
Problem 16
Q

For a particle of mass mm and charge qq moving in a circular path in a magnetic field BB,

  1. show that its kinetic energy is proportional to r2r^2, the square of the radius of curvature of its path.
  2. Show that its angular momentum is L=qBr2L = qBr^2, around the center of the circle.
A
  1. q2B2r22m\dfrac{q^2B^2r^2}{2m}
  2. qBr2qBr^2
Giancoli 7th Edition, Chapter 20, Problem 16 solution video poster
Padlock

In order to watch this solution you need to have a subscription.

Find us on:

Facebook iconTrustpilot icon
Giancoli Answers, including solutions and videos, is copyright © 2009-2026 Shaun Dychko, Vancouver, BC, Canada. Giancoli Answers is not affiliated with the textbook publisher. Book covers, titles, and author names appear for reference purposes only and are the property of their respective owners. Giancoli Answers is your best source for the 7th and 6th edition Giancoli physics solutions.