Giancoli 7th Edition textbook cover
Giancoli's Physics: Principles with Applications, 7th Edition
20

20-3: Force on Electric Current in Magnetic Field
20-4: Force on Charge Moving in Magnetic Field
20-5 and 20-6: Magnetic Field of Straight Wire, Force between Two Wires
20-7: Solenoids and Electromagnets
20-8: Ampère's Law
20-9 and 20-10: Torque on Curent Loop, Motors, Galvanometers
20-11: Mass Spectrometer
20-12: Ferromagnetism, Hysteresis

Question by Giancoli, Douglas C., Physics: Principles with Applications, 7th Ed., ©2014, Reprinted by permission of Pearson Education Inc., New York.
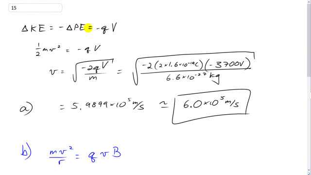
Problem 15
Q

A helium ion (Q = +2e) whose mass is 6.6×1027 kg6.6 \times 10^{-27} \textrm{ kg} is accelerated by a voltage of 3700 V.

  1. What is its speed?
  2. What will be its radius of curvature if it moves in a plane perpendicular to a uniform 0.340-T field?
  3. What is its period of revolution?
A
  1. 6.0×105 m/s6.0 \times 10^5 \textrm{ m/s}
  2. 3.6 cm3.6 \textrm{ cm}
  3. 3.8×107 s3.8 \times 10^{-7} \textrm{ s}
Giancoli 7th Edition, Chapter 20, Problem 15 solution video poster
Padlock

In order to watch this solution you need to have a subscription.

Find us on:

Facebook iconTrustpilot icon
Giancoli Answers, including solutions and videos, is copyright © 2009-2026 Shaun Dychko, Vancouver, BC, Canada. Giancoli Answers is not affiliated with the textbook publisher. Book covers, titles, and author names appear for reference purposes only and are the property of their respective owners. Giancoli Answers is your best source for the 7th and 6th edition Giancoli physics solutions.