Giancoli 7th Edition textbook cover
Giancoli's Physics: Principles with Applications, 7th Edition
20

20-3: Force on Electric Current in Magnetic Field
20-4: Force on Charge Moving in Magnetic Field
20-5 and 20-6: Magnetic Field of Straight Wire, Force between Two Wires
20-7: Solenoids and Electromagnets
20-8: Ampère's Law
20-9 and 20-10: Torque on Curent Loop, Motors, Galvanometers
20-11: Mass Spectrometer
20-12: Ferromagnetism, Hysteresis

Question by Giancoli, Douglas C., Physics: Principles with Applications, 7th Ed., ©2014, Reprinted by permission of Pearson Education Inc., New York.
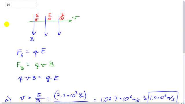
Problem 14
Q

What is the velocity of a beam of electrons that goes undeflected when moving perpendicular to an electric and to a magnetic field. E\vec{E} and B\vec{B} are also perpendicular to each other and have magnitudes 7.7×103 V/m7.7 \times 10^3 \textrm{ V/m} and 7.5×103 T7.5 \times 10^{-3} \textrm{ T}, respectively. What is the radius of the electron orbit if the electric field is turned off?

A
  1. 1.0×106 m/s1.0 \times 10^6 \textrm{ m/s}
  2. 7.8×104 m7.8 \times 10^{-4} \textrm{ m}
Giancoli 7th Edition, Chapter 20, Problem 14 solution video poster
Padlock

In order to watch this solution you need to have a subscription.

Find us on:

Facebook iconTrustpilot icon
Giancoli Answers, including solutions and videos, is copyright © 2009-2026 Shaun Dychko, Vancouver, BC, Canada. Giancoli Answers is not affiliated with the textbook publisher. Book covers, titles, and author names appear for reference purposes only and are the property of their respective owners. Giancoli Answers is your best source for the 7th and 6th edition Giancoli physics solutions.