Giancoli 7th Edition textbook cover
Giancoli's Physics: Principles with Applications, 7th Edition
22
Electromagnetic Waves
Change chapter

22-1: B Produced by Changing E
22-2: EM Waves
22-3: Electromagnetic Spectrum
22-4: Measuring the Speed of Light
22-5: Energy in EM Wave
22-6: Radiation Pressure
22-7: Radio, TV

Question by Giancoli, Douglas C., Physics: Principles with Applications, 7th Ed., ©2014, Reprinted by permission of Pearson Education Inc., New York.
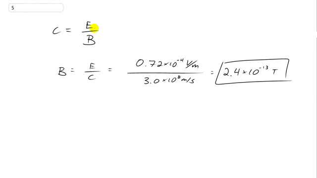
Problem 5
Q

If the electric field in an EM wave has a peak magnitude of 0.72×104 V/m0.72 \times 10^{-4} \textrm{ V/m}, what is the peak magnitude of the magnetic field strength?

A
2.4×1013 T2.4 \times 10^{-13} \textrm{ T}
Giancoli 7th Edition, Chapter 22, Problem 5 solution video poster
Padlock

In order to watch this solution you need to have a subscription.

Find us on:

Facebook iconTrustpilot icon
Giancoli Answers, including solutions and videos, is copyright © 2009-2026 Shaun Dychko, Vancouver, BC, Canada. Giancoli Answers is not affiliated with the textbook publisher. Book covers, titles, and author names appear for reference purposes only and are the property of their respective owners. Giancoli Answers is your best source for the 7th and 6th edition Giancoli physics solutions.