Giancoli 7th Edition textbook cover
Giancoli's Physics: Principles with Applications, 7th Edition
22
Electromagnetic Waves
Change chapter

22-1: B Produced by Changing E
22-2: EM Waves
22-3: Electromagnetic Spectrum
22-4: Measuring the Speed of Light
22-5: Energy in EM Wave
22-6: Radiation Pressure
22-7: Radio, TV

Question by Giancoli, Douglas C., Physics: Principles with Applications, 7th Ed., ©2014, Reprinted by permission of Pearson Education Inc., New York.
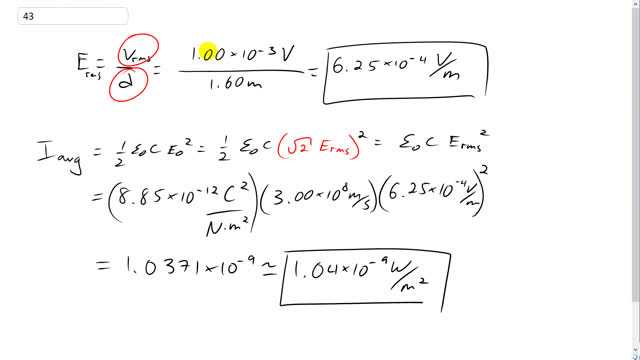
Problem 43
Q

A 1.60-m-long FM antenna is oriented parallel to the electric field of an EM wave. How large must the electric field be to produce a 1.00-mV (rms) voltage between the ends of the antenna? What is the rate of energy transport per m2m^2?

A
Erms=6.25×104 V/m, E_{rms} = 6.25 \times 10^{-4} \textrm{ V/m, }
Iavg=1.04×109 W/m2I_{avg} = 1.04 \times 10^{-9} \textrm{ W/m}^2
Giancoli 7th Edition, Chapter 22, Problem 43 solution video poster
Padlock

In order to watch this solution you need to have a subscription.

Find us on:

Facebook iconTrustpilot icon
Giancoli Answers, including solutions and videos, is copyright © 2009-2026 Shaun Dychko, Vancouver, BC, Canada. Giancoli Answers is not affiliated with the textbook publisher. Book covers, titles, and author names appear for reference purposes only and are the property of their respective owners. Giancoli Answers is your best source for the 7th and 6th edition Giancoli physics solutions.