
In order to watch this solution you need to have a subscription.
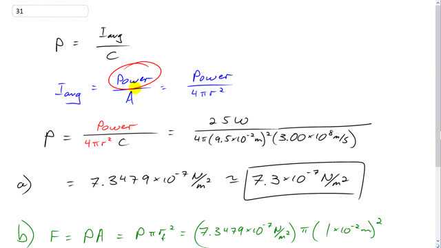
I think part B is wrong. We are given the area of the finger. All we have to do is just convert the area from cm^2 to m^2
Hi roynunez273, thanks for the comment. In part B we're calculating force by multiplying pressure by the area of the finger tip. The finger tip area is , and we're estimating the radius to be , which is already in meters so that no conversion is necessary. When we multiply the pressure by that area we get the force shown in the solution, so please just let me know if I'm missing something, and please be specific.
All the best,
Mr. Dychko
roynunez273 is correct about B, however I took a different approach to the answer and ended up getting it right. Need to remove pi from your calculation:
So, F=PA= (7.3479x10^-7 N/m^2) (1.0x10^-4) should give you the correct answer.
Hi jaclynrgile, thanks for jumping in. I love the discussion this solution is making. In order to duplicate the answer in the back of the text, both you and roynunez273 are correct that you need to multiply the radiation pressure by a figure tip area approximated as . Since part B is an estimate, and the figure tip area isn't specified, this creates some room for interpretation. While it's fine to estimate the finger tip area as , as the text does, it's also OK to estimate a finger tip radius as and then calculate the area using , because who's finger tip is it? Each student, looking at their own finger tips, should get slightly different answers, and the only important point is that the estimate really is something close to the area of a finger tip.
Best wishes,
Mr. Dychko
