Giancoli 7th Edition textbook cover
Giancoli's Physics: Principles with Applications, 7th Edition
21
Electromagnetic Induction and Faraday's Law
Change chapter

21-1 to 21-4: Faraday's Law of Induction
21-5: Generators
21-6: Back EMF and Torque
21-7: Transormers
21-10: Inductance
21-11: Magnetic Energy Storage
21-12: LR Circuit
21-13: AC Circuits and Reactance
21-14: LRC Circuits
21-15: Resonance in AC Circuits

Question by Giancoli, Douglas C., Physics: Principles with Applications, 7th Ed., ©2014, Reprinted by permission of Pearson Education Inc., New York.
Problem 9
Q

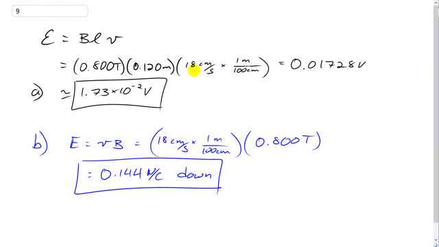
The moving rod in Fig. 21–11 is 12.0 cm long and is pulled at a speed of 18.0 cm/s. If the magnetic field is 0.800 T, calculate

  1. the emf developed, and
  2. the electric field felt by electrons in the rod.
A conducting rod is moved to the right on a U-shaped conductor in a uniform magnetic field B that points out of the page. The induced current is clockwise.
Figure 21-11 (a) A conducting rod is moved to the right on a U-shaped conductor in a uniform magnetic field B\vec{B} that points out of the page. The induced current is clockwise.
Upward force on an electron in the metal rod (moving to the right) due to B pointing out of the page; hence electrons can collect at the top of the rod, leaving + charge at the bottom.
Figure 21-11 (b) Upward force on an electron in the metal rod (moving to the right) due to B\vec{B} pointing out of the page; hence electrons can collect at the top of the rod, leaving + charge at the bottom.
A
  1. 1.73×102 V1.73 \times 10^{-2} \textrm{ V}
  2. 0.144 N/C down0.144 \textrm{ N/C down}
Giancoli 7th Edition, Chapter 21, Problem 9 solution video poster
Padlock

In order to watch this solution you need to have a subscription.

Find us on:

Facebook iconTrustpilot icon
Giancoli Answers, including solutions and videos, is copyright © 2009-2026 Shaun Dychko, Vancouver, BC, Canada. Giancoli Answers is not affiliated with the textbook publisher. Book covers, titles, and author names appear for reference purposes only and are the property of their respective owners. Giancoli Answers is your best source for the 7th and 6th edition Giancoli physics solutions.