Giancoli 7th Edition textbook cover
Giancoli's Physics: Principles with Applications, 7th Edition
21
Electromagnetic Induction and Faraday's Law
Change chapter

21-1 to 21-4: Faraday's Law of Induction
21-5: Generators
21-6: Back EMF and Torque
21-7: Transormers
21-10: Inductance
21-11: Magnetic Energy Storage
21-12: LR Circuit
21-13: AC Circuits and Reactance
21-14: LRC Circuits
21-15: Resonance in AC Circuits

Question by Giancoli, Douglas C., Physics: Principles with Applications, 7th Ed., ©2014, Reprinted by permission of Pearson Education Inc., New York.
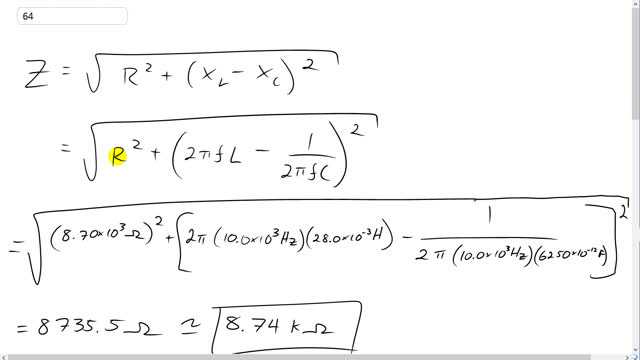
Problem 64
Q

Determine the total impedance, phase angle, and rms current in an LRC circuit connected to a 10.0-kHz, 725-V (rms) source if L=28.0 mHL = 28.0 \textrm{ mH}, R=8.70 kΩR = 8.70 \textrm{ k}\Omega, and C=6250 pFC = 6250 \textrm{ pF}.

A
Z=8.47 kΩ,ϕ=5.17,Irms=8.30×102 AZ = 8.47 \textrm{ k}\Omega, \phi = -5.17^\circ, I_{rms} = 8.30 \times 10^{-2} \textrm{ A}
Giancoli 7th Edition, Chapter 21, Problem 64 solution video poster
Padlock

In order to watch this solution you need to have a subscription.

Find us on:

Facebook iconTrustpilot icon
Giancoli Answers, including solutions and videos, is copyright © 2009-2026 Shaun Dychko, Vancouver, BC, Canada. Giancoli Answers is not affiliated with the textbook publisher. Book covers, titles, and author names appear for reference purposes only and are the property of their respective owners. Giancoli Answers is your best source for the 7th and 6th edition Giancoli physics solutions.