
In order to watch this solution you need to have a subscription.
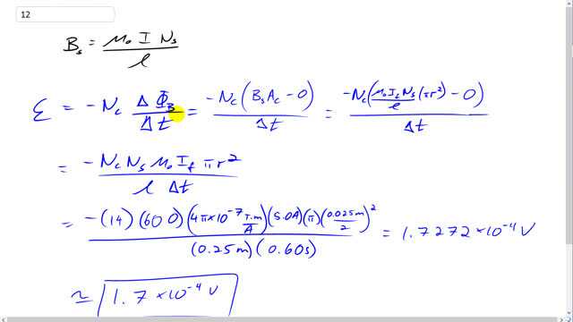
Should the answer be negative?
Hi justin.sunny.bains, thanks for your question. I suppose the better answer would have a negative sign, but I didn't feel it was that important in this case. The negative sign is meant to indicate that the induced EMF creates an induced magnetic flux that opposes the change in magnetic flux in the solenoid. This means the induced EMF will have a direction opposite to the EMF that increased to the 5.0 A current. Outside of that, we don't really have a circuit diagram with a specific direction specified, so it's not really clear otherwise what direction a negative sign would mean. Nevertheless, given a choice between the two answers, including a negative would be a marginally better answer.
Best wishes with your studies,
Mr. Dychko
Hi! Why is the radius of one of the solenoids not necessary?
