
In order to watch this solution you need to have a subscription.
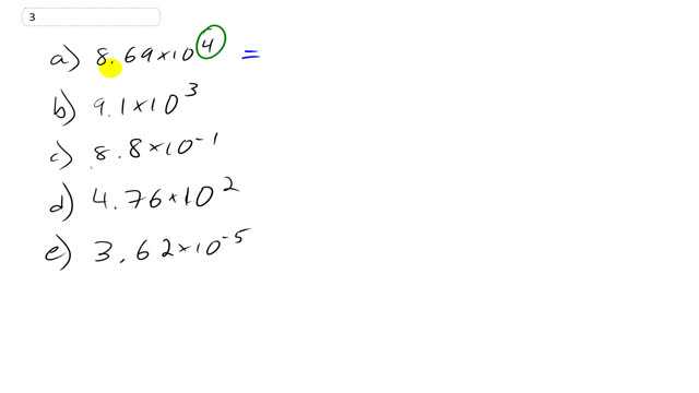
This is Giancoli Answers with Mr. Dychko. Multiplying by 10 to the power of some positive exponent means move the decimal place that many times to the right. So we move the decimal place once, twice and then we go three and four times but there's no digits there so we put zeros and what we end up with is 86900. So we started with a decimal point here and moved it once, twice, three, four times to the right and it ends up there, 86900. In the second case, we have 9.1 but this decimal moves once, twice, three times to the right and put zeros in the places there and so we end up with 9100. And when you are multiplying by 10 to the negative exponent, the negative means move the decimal point to the left this many times. So we have once to the left puts the decimal point here and we'll put a leading zero; 0.88 is our answer. And for the next question we have times 10 to the power of 2 and that's 4.76 but move that decimal place twice to the right once, twice puts it there and it gives us 476. And then times 10 to the negative 5 means we start with 3.62 but we move the decimal place five times to the left so that's once, twice—put a zero there— three times another zero, four times another zero, five times another zero and put a point there; let's write that a little bit more legibly. So we'll start with the leading zero, 0.0000362.
