
In order to watch this solution you need to have a subscription.
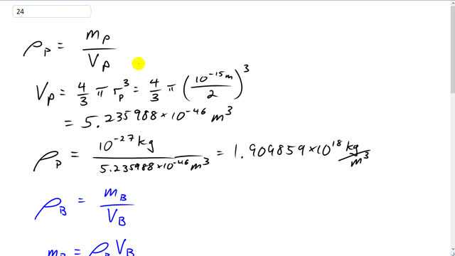
This is Giancoli Answers with Mr. Dychko. So this question basically asks if we had a baseball with the same density as a proton, what would the mass of the baseball be? It's like having a proton that has a circumference of 23 centimeters whereas normally a proton has a diameter of— really small—10 femtometers. So to answer this question, first we'll figure out what the density of a proton is and then substitute that in formula for the mass of the baseball based on its density but we'll put in density of the proton instead of density of the baseball. And then we don't know what the radius is so we'll solve this circumference formula for radius and then substitute that in and of course we are gonna go over all of this slowly in a second and then calculate what the mass of the baseball would be and it's astronomical 3.9 times 10 to the 17 kilograms. So let's step-by-step figure out why. So density of the proton, we need to know this because we are going to suppose that the baseball has the same density— density is mass divided by volume— so we'll figure out the volume of the proton— volume of any sphere is four-thirds π times its radius cubed and this is our subscript P for proton and we are told the diameter of a proton in table 1–1 I think, 10 to the negative 15 meters or 1 femtometer, and so we'll divide that diameter by 2 to get the radius and then that's what we have here and cube that radius or times by four-thirds π and we get this number meters cubed. So we take the mass of a proton— 10 to the negative 27 kilograms— divided by this volume of 5.24 times 10 to the negative 46 cubic meters and we get a density of 1.9099 times 10 to the 18 kilograms per cubic meter. So then we turn our attention to the baseball and its density is the same formula— mass divided by volume— but here we have mass of the baseball divided by volume of the baseball. We'll solve this for mass of the baseball because that's what the question is asking us— what would the mass of the baseball be if its diameter was that of a proton— and we'll multiply both sides of this equation by volume of the baseball and it cancels on this side and we are left with after we switch the sides around, mass of the baseball is density of the baseball times volume of the baseball. But we have the density of the baseball we suppose is the same as the density of a proton and substitute that in. So we have density of the proton multiplied by volume of the baseball same formula as for the volume of any sphere— four-thirds π times radius cubed— and here we have radius of the baseball and there we have it; the mass of the baseball is going to be four-thirds π times the density of a proton we suppose times radius of the baseball cubed. But we don't know the radius of the baseball, we know circumference though and we can write the circumference is 2π times radius which is true for any circle and then solve this for r and we'll divide both sides by 2π and then switch the sides around giving us that r is circumference divided by 2π and so we'll substitute in C over 2π in place of r. So wherever you see r in this formula, we'll now write C over 2π there instead in brackets. So we have C over 2π gets cubed and we have C cubed and then nothing else changed in the numerator here and then in the denominator, we have 2 cubed which is where this 8 comes from and we have π cubed as well and then this 3 is still there so it's 3 times 2 cubed which is 8 times and π cubed all in the denominator. One of the π's cancels here so we end up with π squared and we can reduce this 4 and this 8 turns into a 2, you know, dividing top and bottom by 4 you can say is what I did, and then we are left with 3 times 2 makes 6 and we have density of the proton copied from our result up here and multiply that by the circumference of the baseball which we are told is 23 centimeters and we have to convert that into meters so that its units work nicely with units of this number; it has meters cubed in the bottom so this needs to be meters cubed in the numerator so that I guess numerator is a bit confusing because this whole thing is a numerator of this big fraction but I'm just speaking about these two things being compared here wanna make sure the units work out nicely so we have the centimeters canceling here leaving us with meters cubed and that's gonna cancel with this meters cubed and then on the top overall, we are gonna end up with units of kilograms only. So this all works out to 3.9 times 10 to the 17 kilograms would be the mass of the ball if it had the same density as the density of a proton.
I think there is an error in the final exponents. I have all the same values as you do for the density of the proton, however my final answer keeps coming out to 3.9E14 kg. I am getting a value of 2.055E-4 for the volume of the baseball.
m^3 for the V_baseball
Thank you so much for spotting this lsugden, you're quite correct that I made an error plugging numbers in for the final calculation. I have updated the quick answer.
Thanks again, and best wishes with your studies,
Mr. Dychko
Thank you so much for making this video! This question really confused me, the wording made no sense, but this video helped me to get through the problem and better understand what it was trying to explain. I couldn't have figured it out without your help!
Hi carol, I'm really glad my solution was helpful, and thank you so much for the great feedback!
Best wishes with your studies,
Shaun
