
In order to watch this solution you need to have a subscription.
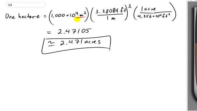
This is Giancoli Answers with Mr. Dychko. There are 1.000 times 10 to the 4 square meters in every hectare I guess I can put per hectare, I'm not sure what the abbreviation for that is but let's just say ht, I'm not sure. Anyway, that's square meters per hectare then we times by 3.28084 feet per meter and we have to square that so that this ends up being meter squared canceling with this meter squared leaving us with square feet per hectare and that's useful because we know how many square feet there are in an acre we are given that in the question. So we have 1 acre for every 4.356 times 10 to the 4 square feet and these square feet cancel with these square feet and we end up with acres per hectare which is what the question's asking— how many acres are there per every hectare— and we have 2.471 acres per hectare. And there are four significant figures in this number because that's how many significant figures we have here.
this was not useful at all
where did you get the answer from
Hi Mari, it was necessary to look up the conversion factor from meters to feet, multiply by that twice to get the number of square feet per hectare, and then multiply that result by the number of acres per square feet provided by the question. The units cancel such that we're left with acres per hectare.
Hope that helps,
Shaun
