Giancoli 7th Edition textbook cover
Giancoli's Physics: Principles with Applications, 7th Global Edition
16
Electric Charge and Electric Field
Change chapter

16-5 and 16-6: Coulomb's Law
16-7 and 16-8: Electric Field, Field Lines
16-10: DNA
16-12: Gauss's Law

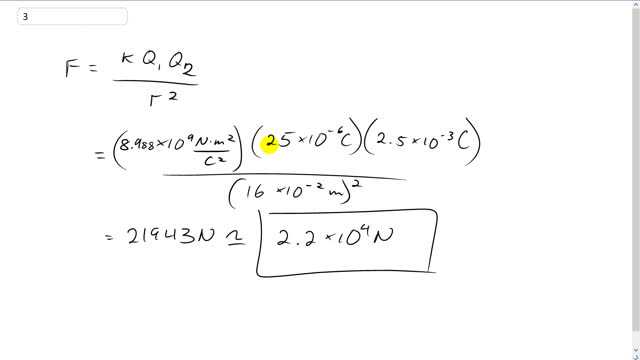
Problem 3
A
2.2×104 N2.2 \times 10^4 \textrm{ N}
Giancoli 7th "Global" Edition, Chapter 16, Problem 3 solution video poster
Padlock

In order to watch this solution you need to have a subscription.

Find us on:

Facebook iconTrustpilot icon
Giancoli Answers, including solutions and videos, is copyright © 2009-2026 Shaun Dychko, Vancouver, BC, Canada. Giancoli Answers is not affiliated with the textbook publisher. Book covers, titles, and author names appear for reference purposes only and are the property of their respective owners. Giancoli Answers is your best source for the 7th and 6th edition Giancoli physics solutions.