
In order to watch this solution you need to have a subscription.
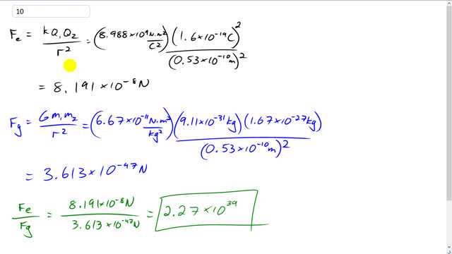
Hey, would you be able to put up the solution for question 13 of the chapter? It was a question on the number of electrons transferred after charge transfer.
Hi hugokatich, isn't question 13 here: https://www.giancolianswers.com/giancoli-physics-7th-global-edition-sol…?
