Giancoli 7th Edition textbook cover
Giancoli's Physics: Principles with Applications, 7th Edition
33
Astrophysics and Cosmology
Change chapter

33-1 to 33-3: Stars, Galaxies, Stellar Evolution, Distances
33-4: General Relativity, Gravity and Curved Space
33-5: Redshift, Hubble's Law
33-6 to 33-8: The Big Bang, CMB, Universe Expansion
33-9: Dark Matter, Dark Energy

Question by Giancoli, Douglas C., Physics: Principles with Applications, 7th Ed., ©2014, Reprinted by permission of Pearson Education Inc., New York.
Problem 38
Q

Only about 5% of the energy in the universe is composed of baryonic matter.

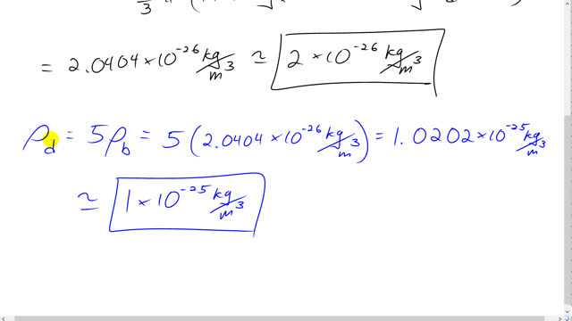
  1. Estimate the average density of baryonic matter in the observable universe with a radius of 14 billion light-years that contains 101110^{11} galaxies, each with about 101110^{11} stars like our Sun.
  2. Estimate the density of dark matter in the universe.
A
ρb=2×1026 kg/m3\rho_b = 2 \times 10^{-26} \textrm{ kg/m}^3, ρd=1×1025 kg/m3\rho_d = 1 \times 10^{-25} \textrm{ kg/m}^3
Giancoli 7th Edition, Chapter 33, Problem 38 solution video poster
Padlock

In order to watch this solution you need to have a subscription.

Find us on:

Facebook iconTrustpilot icon
Giancoli Answers, including solutions and videos, is copyright © 2009-2026 Shaun Dychko, Vancouver, BC, Canada. Giancoli Answers is not affiliated with the textbook publisher. Book covers, titles, and author names appear for reference purposes only and are the property of their respective owners. Giancoli Answers is your best source for the 7th and 6th edition Giancoli physics solutions.